Halbleiter
| Halbleiter | |
| Aufbau des Experiments zur Untersuchung der Temperaturabhängigkeit von Widerständen | |
| Kurzbeschreibung | |
|---|---|
| Die unterschiedliche Temperaturabhängigkeit von metallischen und halbleitenden Widerstände werden mithilfe der Bestimmung des Widerstands einer Glühlampe und eines ohmschen Widerstandes auf Seiten der Leiter und eines Stückes Silizium auf der Seite der Halbleiter gezeigt. | |
| Kategorien | |
| Elektrizitätslehre Halbleitertechnik Spannung, Stromstärke und Widerstand (URI) | |
| Einordnung in den Lehrplan | |
| Geeignet für: | Klasse 9 und 10 |
| Basiskonzept: | System |
| Sonstiges | |
| Durchführungsform | primär Demoexperiment, auch als Schüler- bzw. Gruppenexperiment durchführbar |
| Anzahl Experimente in dieser Unterkategorie | 2-3 (Temperaturabhängigkeit der metallischen und halbleitenden Widerstände) |
| Anspruch des Aufbaus | leicht |
| Informationen | |
| Name: | Johannes Mauch |
| Kontakt: | @ @ |
| Uni: | Humboldt-Universität zu Berlin |
| Betreuer*in: | Steffen Wagner |
Halbleiter sind wegen ihrer Bedeutung für die Elektronik aus der heutigen Zeit und damit auch aus dem physikalischen Fachunterricht nicht mehr wegzudenken. Wichtig ist daher, den Schülern einen leichten und bekömmlichen Einstieg zu diesem komplexen Thema zu ermöglichen. Diese Experimentieranordnung behandelt die Temperaturabhängigkeit von Widerständen – besonders die Unterschiede zwischen metallischen und halbleitenden. Die zentrale Botschaft ist, dass die Leitfähigkeit aller Stoffe (und somit auch deren Widerstände) von verschiedenen Faktoren abhängt und keineswegs konstant ist. In unserem Beispiel , soll gezeigt werden, dass der Widerstand von der Temperatur abhängt: Bei höherer Temperatur steigt der Widerstand in Metallen, in Halbleitern nimmt er hingegen ab. Verdeutlicht werden soll dies im ersten Teil durch die Aufnahme der Strom-Spannungs-Kennlinien eines ohmschen Widerstandes und einer Glühbirne. Die Unterschiede im qualitativen Kurvenverlauf zeigen den Einfluss der Temperatur auf den metallischen Widerstand, dessen Kehrwert im Diagramm ablesbar ist. Im zweiten Teil dient die zeitliche Abbildung des Stromflusses durch einen abkühlenden Silizium-Klumpen der Visualisierung. Bei konstanter Spannung entspricht der Stromabfall einem Widerstandsanstieg.
Die Anordnung kann auch als Einführung zu weiteren Untersuchungen zur Leitfähigkeit von Halbleitern und den Möglichkeiten der Beeinflussung derselben genutzt werden.
Inhaltsverzeichnis
Didaktischer Teil
Kumulatives Lernen kommt zunehmend in den Fokus der didaktischen Diskussion. Mit dem Begriff wird eine Form des Lernens beschrieben, bei der das Wissen und die Kompetenzen des Schülers 'kumuliert' – also sukzessive angehäuft – werden. Dadurch dass Erkenntnisse aufbauend auf bereits bestehendem Wissen gewonnen und mit ebendiesem verknüpft werden, unterscheidet sich diese Form der Aneignung vom klassischen Additiven Lernen – dem isolierten Lernen von einzelnen Inhalten. Das Kumulative Lernen wird auch als „sinnstiftende[s] verbindende[s] Lernen“ (Rubitzko (2013)[1], S. 4) bezeichnet und entspricht dem Stand der neurologischen Forschung, da in unserem Gehirn alle Wissensbestände durch vernetzte Neuronen repräsentiert werden (siehe dazu auch Spitzer (2006)[2]).
Ein Aspekt des kumulativen Lernens ist die vertikale Vernetzung von Inhalten, d.h. das Aufbauen von Inhalten auf zuvor im Unterricht Behandeltem. Der Themenkomplex Elektrische Leitungsvorgänge kann ein Spiralcurriculum bilden, in dem eine solche Vernetzung stattfindet. Um die Temperaturabhängigkeit von Widerständen zu verstehen, wird unter anderem die Behandlung folgender Inhalte vorausgesetzt (zum Teil auch solche aus den Basiskonzepten Wechselwirkung und Materie):
- Ladung ist eine Eigenschaft von Ladungsträgern.
- Elektrischer Strom bedeutet die Bewegung von Ladung in eine Vorzugsrichtung.
- Die Wechselwirkung der Ladungsträger mit den Medien, in denen sie strömen, führt unter anderem zu Erwärmung. (Vgl. Rubitzko (2013)[1])
- Diese Wechselwirkung erzeugt einen Widerstand und behindert daher den Stromfluss.
- Wächst die den Stromfluss verursachende Größe an, steigt in gleichem Maße auch der Stromstärke. (Ohmsches Gesetz)
Dieses Experiment setzt am Ohmschen Gesetz an und zeigt am Beispiel der Wechselwirkung zwischen Elektronen und Glühdraht der Glühbirne – und der damit verbundenen Erwärmung – dessen Grenzen auf. Auch wird gezeigt, dass die Zufuhr von Energie (in diesem Fall durch die Erhöhung der Temperatur) diese Wechselwirkungen bei Metallen und Halbleitern verschieden beeinflusst. Weiterführend können andere Experimente mit Halbleitern zeigen, dass es dabei auch zur Lichtaussendung kommen kann.
Versuchsanleitung
Aufbau
Benötigte Geräte (alle mit Steckkontakten, möglichst alle vom gleichen Hersteller z.B. Phywe):
- 1 Spannungsversorgung (stufenlos oder in sehr kleinen Stufen regulierbarer Bereich zwischen 0V und 5V) mit Netzteil (bzw. Stromkabel)
- 1 Steckbrett
- 2 große Krokodilsklemmen (sie müssen am Silizium-Klumpen befestigt werden / ihn greifen können)
- 5 (kurze oder mittellange) Steckkabel
- 1 100Ω-Widerstand
- 1 Glühbirne
- je 1 Strom- und Spannungsmessgerät (alternativ Cassy)
Weiterhin benötigte Materialien:
- 1 Klumpen reines Silizium
- 1 Heißluftföhn
Aufbau:
Der Aufbau ist recht einfach. Mit einer Reihenschaltung aus Spannungsversorgung, dem 100Ω-Widerstand auf einem Steckbrett, dem Strommessgerät und den 3 benötigten Verbindungskabeln wird ein einfacher Stromkreis hergestellt. Mithilfe der verbleibenden Kabel wird das Spannungsmessgerät parallel zum Widerstand geschaltet. Das Spannungsversorgungsgerät, der Föhn und ggf. auch die Messgeräte werden an die Netzspannung (und ggf. Cassy an den Computer) angeschlossen. In meinem Fall misst das Spannungsversorungsgerät die ausgegebene Spannung ziemlich genau, weshalb in Abb. 1 nur ein Messgerät zu sehen ist.
Durchführung
Standarddurchführung als Demoexperiment
Die auszugebende Spannung der Spannungsversorgung ist zu Beginn auf Null zu stellen. Die Messgeräte sind auf einen geeigneten Messbereich einzustellen (Spannung < 5V, Strom < 500mA) und während der Messung nicht zu verstellen, damit die Werte nicht verfälscht werden. In kleinen Schritten wird die Spannung hochgedreht und nach jedem Schritt werden Strom- und Spannungswerte abgelesen und an der Tafel und/oder von einem Schüler notiert.
Als nächstes wird der 100Ω-Widerstand durch die Glühbirne ersetzt und die Messung wird wiederholt durchgeführt. Die Spannungsobergrenze wird entsprechend den Höchstwerten der Glühbirne gewählt (dieser Wert kann meistens an der Fassung abgelesen werden – in der Regel liegt er zwischen 3V und 5V) und die Messgeräte werden auf die entsprechenden Messbereiche eingestellt. Die Daten werden wie bei der ersten Messreihe aufgenommen und notiert.
Im zeiten Tel wird zunächst der Silizium-Klumpen (möglich ist sowohl mono- als auch polykristallines Silizium) auf eine hitzeresistente Unterlage gelegt und anschließend mit dem Luftstrom aus einem Heißluftföhn auf maximaler Stufe erwärmt. Selbst mit einem gewöhnlichen Haarföhn wird das Silizium so heiß, dass man es nicht mehr anfassen kann, ohne sich die Hand zu verbrennen. Anschließend wird anstelle der Glühbirne nun der heiße Silizium-Klumpen mithilfe der Krokodilsklemmen in den alten Stromkreis eingebunden. Die Messgeräte sind auf die entsprechenden Messbereiche einzustellen (z.B. U=3V → Strom <100mA, das hängt aber von der Beschaffenheit des Silizium-Klumpens ab). Bei konstanter Spannung (z.B. 3V) wird im Verlauf der nächsten 10 Minuten in regelmäßigen, kleinen Abständen (z.B. alle 10s) der Stromfluss gemessen. Messwertaufnahme und -notation erfolgt wie zuvor oder nach dem Ermessen der Lehrperson. Es muss beim Abkühlvorgang gemessen werden, um ungewünschte Nebeneffekte (z.B. durch den Luftstrom oder durch die ungleichmäßige Erwärmung) zu umgehen.
Durchführung als Schüler-/Gruppenexperiment
Die Durchführung ist beim Schülerexperiment prinzipiell die gleiche wie beim Demoexperiment. Lediglich werden mehrere Versuchsaufbauten benötigt. Möglich ist auch zwei verschiedene Gruppen zu kreieren: Ein Teil der Klasse führt die beiden Versuche mit den metallischen Leitern (100Ω-Widerstand und Glühbirne) durch und der Rest widmet sich dem Silizium. Die Gruppengröße ist dabei klein zu halten, sodass beide Versuchsgruppen mehrfach (je nach Klassenstärke) vorhanden sind und so falsche Ergebnisse (bzw. die unkorrekte Durchführung) entlarvt werden.
Abwandlung der Durchführung mit Cassy
Falls vorhanden kann statt der aufwendigen manuellen Messwertaufnahme ein digitales Messsystem wie Cassy verwendet werden. Dies geht bedeutend schneller und ist zudem genauer, zuverlässiger und mit den oben angegebenen Materialien ebenso durchführbar (Strom- und Spannungsmessgeräte einfach durch Cassy ersetzen).
Ergebnisse
Im ersten Teil wird, wie in den Abb. 3 und 4 zu sehen ist, für die Messreihen des ohmschen Widerstandes und der Glühbirne der Strom über der Spannung abgetragen. Es wird darauf hingewiesen, dass dies nur eine Wiederholung bereits bekannter Gesetzmäßigkeiten (Ohmsches Gesetz) ist. Der Anstieg der Strom-Spannungs-Kurve ist der Kehrwert des konstanten (100Ω-)Widerstandes.
Den 100Ω-Widerstand kann man sich im einfachsten Fall als einen langen Draht vorstellen. (Man könnte sogar so weit gehen und den Steckwiderstand durch einen langen Konstantandraht ersetzen.) Die Glühbirne besteht ebenfalls nur aus einem dünnen Metalldraht, verhält sich jedoch anders als ein ohmscher Widerstand (siehe Abb. 4). Auch wenn dies schon bekannt ist, sollte explizit auf den Zusammenhang hingewiesen werden. Da sich die Kurve verflacht und der Anstieg somit kleiner wird, steigt der Widerstand bei wachsender Stromstärke. Aus dem Diagramm kann man allerdings nicht ablesen, dass mit steigender Stromstärke die Glühbirne auch heller wird und dass mit der Helligkeit auch die Temperatur des Drahtes zunimmt. Daher sollte dies von zumindest einem Schüler exemplarisch (z.B. durch Anfassen der Glühbirne) nachgeprüft werden. Die Schlussfolgerung lautet, dass mit der Temperatur des Leiters auch sein Widerstand steigt. Dieser Zusammenhang wird hier leider nur indirekt nachgewiesen, da der Glühdraht durch den Stromfluss erwärmt wird und eine Temperaturmessung nicht möglich ist. Wie ein direkter Nachweis erfolgen könnte, wird unter 2.5 beschrieben. Allerdings ist der in der obigen Versuchsanleitung genutzte Aufbau weniger kompliziert und sicherheitstechnisch weniger bedenklich und daher in der Schule leichter, schneller und öfter durchführbar.
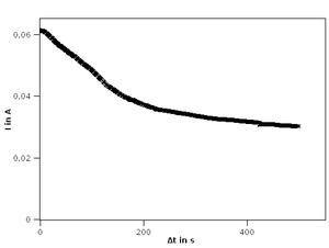
Für den zweiten Teil des Experiments wird, wie in Abb. 5, der Strom über der verstrichenen Zeit aufgetragen, da bei konstanter Spannung der Einfluss der Temperatur direkt (ohne den Umweg über Spannungsmessung und Kennlinienvergleich) am veränderten Stromfluss beobachtet werden kann. In Abb. 5 ist zu erkennen, dass der Stromfluss im Prozess der Abkühlung des Silizium-Klumpens abnimmt. Da die Spannung konstant bleibt und der Widerstand proportional zu ist, steigt der Widerstand mit dem Zeitverlauf. Es ist also eine Umkehrung der Temperaturabhängigkeit zu beobachten: Während der Widerstand von metallischen Leitern mit zunehmender Temperatur steigt, sinkt er bei Halbleitern. Daher werden Metalle auch als Kaltleiter bezeichnet (hier kann der Bezug zu Supraleitern bei extrem kalten Temperaturen hergestellt werden) und Halbleiter auch als Heißleiter.
Desweiteren können die Schüler Vermutungen über die Korrelation des Widerstandsanstiegs (bzw. des Stromstärkeabfalls) zum Absinken der Temperatur anstellen. Dies wird erleichtert, wenn gute, präzise Thermometer vorhanden sind, was in meinem Fall nicht gegeben war. Da sich die Temperatur aufgrund der hohen Differenz zur Raumtemperatur zu Beginn stärker ändert als zum Schluss, fällt die Stromstärke (bzw. wächst der Widerstand) anfangs auch schneller. Das lässt auf einen gleichmäßigen Kurvenverlauf des Temperatur-Widerstand-Zusammenhangs im beobachteten Bereich schließen.
Auswertung und Diskussion der Auffälligkeiten
Im Experiments geht es neben dem Aspekt der Wiederholung und Vernetzung vor allem darum, ungenaues Schülerwissen in Fachwissen umzusetzen. Allgemein bekannt ist unter Schülern der 9./10. Klasse, dass Stromfluss aufgrund von unvermeidbaren und manchmal sogar gewollten bzw. genutzten Verlusten zur Erwärmung des stromdurchflossenen Körpers führt. Klassische Beispiele für eine genutzte Erwärmung sind Wasserkocher und E-Herd. Ungewollte Erwärmung tritt z.B. bei Nutzung von PCs und Laptops oder beim Aufladen des Handy-Akkus auf. Ebenso gehört es meist zum unterbewussten Wissensschatz, dass eine veränderte Temperatur die Leitfähigkeit beeinflusst. So werden z.B. Laptops auf feste Unterlagen gestellt, damit sie sich nicht "überhitzen", wodurch die nötigen Leitungsvorgänge zum Betrieb des Laptops gestört würden.
Um die Temperaturabhängigkeit metallischer Widerstände physikalisch zu untermauern, wird zuerst das ohmsche Gesetz wiederholt und veranschaulicht. Auch wenn einige Messwerte aufgenommen werden, soll qualitativ gearbeitet werden; die genauen Werte und ihre Unsicherheiten spielen eine untergeordnete Rolle. Interessant ist vor allem die graphische Darstellung der Strom-Spannungs-Gerade, welche im Normalfall ohne größere Abweichungen gelingt. Im zweiten Schritt werden die gleichen Messungen mit einer Glühbirne wiederholt und die Verläufe der beiden Strom-Spannungs-Kurven verglichen. Es soll gezeigt werden, dass das ohmsche Verhalten der Glühbirne durch die Temperaturänderung gestört wird. Es ist explizit darauf einzugehen, dass die Glühbirne ein dünner metallischer Draht ist, der durch der Erwärmung als Folge des Stromflusses zum Glühen gebracht wird. Durch die erhöhte Temperatur nimmt der Widerstand zu – die Strom-Spannungs-Kurve (auch Kennlinie genannt) wird flacher.
Es kann zudem gezeigt werden, dass dies ein reversibler Prozess ist – beim Ausschaltvorgang der Glühbirne können ebenso Messwerte aufgenommen werden. In Abb. 4 sind Messwerte von Ein- und Ausschaltprozess integriert. Es ist zu erkennen, dass die beiden Kurven sich nicht decken. Wie in der folgenden Tabelle sichtbar wird, stammen die drei im Diagramm als Ausreißer erkennbaren Messwerte allesamt dem Einschaltvorgang.
| "Zeit" t / s | "Spannung" U / V | "Stromstärke" I / A |
|---|---|---|
| 9 | 0,29 | 94 |
| 10 | 0,59 | 92 |
| 11 | 0,93 | 109 |
| 12 | 1,34 | 128 |
| 13 | 1,89 | 152 |
| 14 | 2,33 | 168 |
| 15 | 2,60 | 178 |
| 16 | 2,81 | 184 |
| 17 | 3,14 | 195 |
| 18 | 3,38 | 202 |
| 19 | 3,59 | 209 |
| 20 | 3,78 | 214 |
| 21 | 3,95 | 19 |
| 22 | 4,13 | 224 |
| 23 | 4,27 | 228 |
| 24 | 4,25 | 227 |
| 25 | 3,95 | 219 |
| 26 | 3,77 | 213 |
| 27 | 3,66 | 210 |
| 28 | 3,55 | 207 |
| 29 | 3,43 | 203 |
| 30 | 3,27 | 198 |
| 31 | 3,19 | 196 |
| 32 | 3,08 | 192 |
| 33 | 2,93 | 187 |
| 34 | 2,83 | 184 |
| 35 | 2,84 | 184 |
| 36 | 2,73 | 180 |
| 37 | 2,66 | 178 |
| 38 | 2,52 | 173 |
| 39 | 2,33 | 166 |
| 40 | 2,21 | 162 |
| 41 | 2,03 | 155 |
| 42 | 1,81 | 146 |
| 43 | 1,68 | 141 |
| 44 | 1,55 | 135 |
| 45 | 1,42 | 131 |
| 46 | 1,28 | 124 |
| 47 | 1,20 | 120 |
| 48 | 1,13 | 117 |
| 49 | 0,97 | 109 |
| 50 | 0,83 | 100 |
| 51 | 0,69 | 92 |
| 52 | 0,56 | 85 |
| 53 | 0,51 | 84 |
| 54 | 0,38 | 77 |
| 55 | 0,25 | 71 |
| 56 | 0,14 | 56 |
| 57 | 0,06 | 32 |
| 58 | 0,03 | 18 |
| 59 | 0,01 | 6 |
Dies lässt sich besonders durch die von mir verwendete Messmethode erklären. Wie man leicht vermutet, wurden die gelisteten Werte mit Cassy aufgenommen, während ich die Spannung manuell mit einem Drehregler möglichst langsam und gleichmäßig erhöht habe. Zu Beginn war dies allerdings schwer, da der Regler ruckartig auf erfahrene Beschleunigungsänderungen reagierte.
Die umgekehrte Temperaturabhängigkeit von Halbleiterwiderständen wird im zweiten Teil des Versuchs behandelt. Damit dieses Phänomen mit dem oben beschriebenen Versuchsaufbau sichtbar werden kann, muss explizit darauf hingewiesen werden, dass die Temperatur im Verlauf des Experiments und im Diagramm in positiver x-Richtung abnimmt – anders als bei der Glühbirne. Um dies zu vermeiden, könnte man natürlich auch im ersten Versuchsteil eine "Abkühlkurve" abbilden. Da dann aber die Werte der x-Achse nach rechts kleiner würden, bleibt unklar, ob dies nicht mehr Verwirrung schafft als es behebt. In jedem Fall sollte die Reversibilität beider Versuchsteile gezeigt werden, um begründete Zweifel an der Methode der Abkühlkurve auszuräumen. Beim Silizium-Klumpen ist dies nicht so leicht möglich, wie bei der Glühbirne, da die Erwärmung extern stattfindet und nicht gleichmäßig verläuft. Ein Probemesswert vor dem Erhitzen des Siliziums sollte als Beweis genügen. Bei gleicher Spannung gleicht sich im Abkühlvorgang die Stromstärke wieder dem Kontrollwert an.
Im zweiten Teil des Experiments orientieren sich die Schüler direkt am Phänomen, denn der Halbleiter liegt im Idealfall in nicht-apparatisierter Form als Silizium-Klumpen vor und kann direkt mittels Föhn, von außen wahrnehmbar erwärmt und mit den einfachsten Mitteln ausgemessen werden, wie in Abb. 1 zu sehen und weiter oben ausgeführt ist. Das Experiment gliedert sich somit nicht nur in ein Spiralcurriculum ein, sondern verfolgt auch phänomenologische Ansätze. Im weiteren Unterrichtsverlauf können die gewonnenen Erkenntnisse z.B. mit Fokus auf der Bedeutung der Beeinflussung von Leitfähigkeiten – insbesondere bei Halbleitern – vertieft werden. Auch die Behandlung der für die Technik bedeutsamen Spannungsabhängigkeit von Halbleiterwiderständen – und im Zuge dessen die Richtungsabhängigkeit von dotierten Materialien – ist in Anlehnung an dieses Experiment denkbar.
Sicherheitshinweise
Wie schon erwähnt, ist mit dem Föhn und dem heißen Silizium mit erhöhter Vorsicht umzugehen, um Verbrennungen zu vermeiden; ganz besonders gilt dies während des Erwärmens vom Silizium und beim anschließenden Anbringen der Krokodilsklemmen. Bis auf den elektrischen Strom werden durch das Experiment keine weiteren Gefahrenquellen erzeugt. An den offenen Kontakten und beim Umgang mit den elektrischen Geräten ist natürlich die übliche Vorsicht geboten.
Mögliche Modifikation des Experiments
Im Idealfall verwendet man statt der Kombination aus ohmschem Widerstand und Glühbirne einen Draht, der über einem Bunsenbrenner erhitzt wird. Wie schon bei der Glühbirne hat die Temperaturerhöhung zur Folge, dass der Widerstand im Draht steigt. Dies wäre jedoch ein direkterer Nachweis, da die Temperaturänderung direkt erfahrbar bzw. nachvollziehbar ist und die Verbindung zwischen den zwei Aufbauten im ersten Teil des Experiments (100Ω-Widerstand und Glühbirne) nicht erst künstlich hergestellt werden muss. In Anlehnung an die Vorgehensweise beim Silizium könnte eine Abkühlkurve aufgenommen werden. Durch die Analogie der beiden Experimentteile ließe sich der Unterschied in der Temperaturabhängigkeit von metallischen und halbleitenden Widerständen leichter erkennen.
Das Problem für den Aufbau ergibt sich aus der punktuellen Erhitzung. Zum einen können dünne Drähte reißen, zum anderen hat eine punktuelle Vervielfachung des Drahtwiderstands kaum Auswirkungen auf den Gesamtwiderstand (obwohl bei 1000°C in der Kegelspitze der blauen Brennerflamme sich der Widerstand eines Kupferdrahtes verfünffacht). Möglich wäre, einen spulenartigen Aufbau zu konstruieren, um mehr Draht zugleich zu erhitzen. Es hätte den Vorteil, dass kein Abschnitt des Drahtes zu stark erhitzt wird (der Saum der Flamme wird nur bis zu 900°C heiß) und die erhitzte Drahtlänge drastisch steigt. Ein solcher Aufbau muss sehr gut durchdacht sein, um den gewünschten Effekt zu erzielen. Dies gelang in meinen Versuchen jedoch nicht. Unbedingt sollte man vor der Durchführung dieser Variante des Experiments sicherstellen, dass es sich bei dem verwendeten Material um reines Kupfer handelt. Andere Metalle können bei so hohen Temperaturen schmelzen. Auch Kupfer schmilzt bei etwa 1100°C und wenn man mit dem Brenner den Draht zu perfekt an einem Punkt erhitzt, kann es trotz der guten Wärmeleitfähigkeit von Kupfer passieren, dass es tropft. Ist der Draht zudem isoliert, zerstört dies nicht nur den gewünschten Effekt, sondern es besteht auch die Gefahr, dass giftige Gase freigesetzt werden. Einen Draht zu verwenden ist aber nötig, damit die Querschnittsfläche möglichst klein bleibt und der Widerstand und der durch die Erhitzung erzeugte Effekt maximiert werden.
Literatur
- ↑ 1,0 1,1 Rubitzko, Th. (2013): Elektrische Leitungsvorgänge in verschiedenen Medien - Didaktische und fachliche Grundlagen; in: Naturwissenschaften im Unterricht - Physik, Nr. 133 (1/2013), S. 4-9; Friedrich, Seelze.
- ↑ Spitzer, M. (2006): Lernen – Gehirnforschung und die Schule des Lebens; 1. Auflage, Spektrum Akademischer Verlag, Heidelberg.
Siehe auch
- Mehr zu Halbleitern: http://www.brinkmann-du.de/physik/elektronik_01.htm [14.03.2016]
- Kumulatives Lernen (SINUS Bayern): http://sinus-bayern.de/index.php?Seite=6948& [30.03.2016]
- SINUS Transfer (Weiterentwicklung von SINUS Bayern) Modul 5: http://www.sinus-transfer.de/module/modul_5kumulatives_lernen.html